一、选择题(每小题1分,共10分,在每小题给出的四个选项中,只有一项符合题目要求)
1. 浙江历史悠久,文化灿烂,它的面积约为十万五千五百平方千米,划横线的数改写成用“万”作单位是( B )。
A.10万 B.10.55万 C.10.6万 D.11万
2. 下面的四个算式中的“8”和“3”可以直接相加减的是( D )。
3. 小数是我国最早提出和使用的,在公元3世纪,我国古代数学家( B )就提出了把整数个位以下无法标出名称的部分称为徽数。
A.祖冲之 B.刘徽 C.杨辉 D.秦九韶
4. 右图是某小区广场示意图,旗杆在( D )号楼的东北方向?

A.1号楼 B.2号楼
C.3号楼 D.4号楼
5. 把一些糖果按4∶3∶2或7∶6∶5分给甲、乙、丙三位同学,对于乙同学来说,两种不同分法得到的糖果数( C )。
A.第一种多 B.第二种多 C.一样多 D.无法比较
6. 王叔叔用28米长的木条给花圃做围栏,他想把花圃设计成以下四种造型,( C )不能用28米的长木条围成。
7. 下面各题中,能用“A×(1-3/8)=B”这样关系式直接列式解答的有( B )句。
①修一条400米的公路,已经修了,还剩下多少米未修?
②一条公路已经修了400米,剩下的比已修的少,还剩下多少米未修?
③修一条400米的公路,已修的和未修的长度比是3∶5,已经修了多少米?
④修一条400米的公路,已修的和未修的长度比是3∶5,还剩下多少米未修?
A.1 B.2 C.3 D.4
8. 数m、n、t 在数轴上的位置如图所示。下列式子结果与数t最接近的是( D )。
A.n+m B.n-m C.n×m D.n÷m
9. 下面说法中,正确的有( B )句。
①在比例里,两个内项积与两个外项积的差是0。
②两枚硬币同时向上抛,两个硬币都是正面朝上的可能性是 1/4。
③一款裙子原价是50元/条,现在以40元/条的优惠价出售,便宜了25%。
④要求制作的饮料保持7分甜不变,那么加入的水和糖成正比例。
A.1 B.2 C.3 D.4
10. 疫情期间,为方便全员核酸检测,某社区需要搭建如图1的单顶帐篷,需要17根钢管。这样的帐篷按图2、图3的方式串起来搭建,则串起来搭建n顶帐篷需要( A )根钢管。
二、填空题(每空1分,共26分)
11. 0.6=30÷( 50 )=3/( 5 )=( 60 )%=( 六 )折
12. (1)8600毫升=( 8.6 )升 (2)3.2平方千米=( 320 )公顷
(3)2.75时=( 2 )时( 45 )分 (3)5吨50千克=( 5.05 )吨
14. A=2×3×m,B=3×5×m,(m是自然数且m≠0)。如果A和B的最大公因数是21,则m是( 7 ),A和B的最小公倍数是( 210 )。
15. 右图是小明坐出租车从家出发经文化馆去展览馆的路线图。已知出租车在3千米以内(含3千米)按起步价8元计算,以后每增加1千米车费就增加1.4元。请你按图中提供的信息算一算,小明完成这次参观(单程)一共行驶了( 30 )千米,要花( 45.8 )元出租车费。
16. 一个等腰三角形,有两条边的长度分别是4厘米、8厘米,那么这个三角形的周长是( 20 )厘米;如果一个等腰三角形中,有一个角是70°,那么这个三角形按角分是(等腰 )三角形。
17. 某便利店一天共销售各种三明治40个(具体百分比如右图),当天该店(鸡蛋)三明治的销售总额最高,最高销售总额是( 132 )元。
18. 家常菜餐厅4月份的营业额中应纳税的部分是8.5万元,按应纳税部分的3%缴纳增值税,应缴纳增值税(2550)元:又缴纳了1700元的卫生费,卫生费的费率是( 2% )。
19. 一个圆柱体食品罐(如下图),沿着虚线把侧面商标纸剪开,展开后得到一个面积为31.4平方厘米的平行四边形,那么这个食品罐的体积是( 15.7 )立方厘米。
20. 一个正方体的六个面标有6个数,把它展开后如上图,若A是最小的质数,B是最小的合数,C既不是质数也不是合数,且相对两个面上标的数字与含有字母的式子刚好互为倒数,则D+e+f=( 3.5 )。
21. 小幽同学分别从上面、前面观察了超市置物架上的三摞杯子,画面如右图。那么这三摞杯子至少有( 8 )只。 
22. 聪聪和明明进行百米赛跑,他们同时从起点开跑(如下图),当聪聪跑到终点时,明明跑到了A点,聪聪与明明跑步的速度比是( 5 )∶( 4 );照这样的速度,假设聪聪退到B点开始起跑,就能和明明同时跑到终点,则B点的位置可以表示为( -25 )米。
三、计算题(共24分)
23. 直接写出得数(每小题0.5分,共3分)
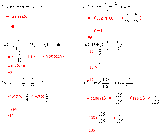
24. 用合理的方法计算,并写出过程(每小题2分,共12分)
25. 解方程(每小题3分,共9分)
四、图形与几何(共12分)
26. 图中两个正方形的边长是10厘米和6厘米,求阴影部分的面积。(4分)
27. 如下图,每个小方格是边长为1厘米的正方形。梯形ABCD的四个顶点分别用数对表示是(1,10),(5,10),(9,6),(1,6)。O是BC中点。
(1)画出梯形ABCD先向下平移5厘米,再向右平移2厘米以后的图形。(2分)(如图)
(2)将梯形ABCD按1∶2的比缩小,画在方格图中。(2分)(如图)
(3)如果剪下梯形中的阴影三角形,绕着点O( 逆 )时针方向旋转( 90 )°就可以把它拼成一个长方形。(2分)
(4)以点A的东偏南45°方向与点D的东偏北45°方向的交点为圆心,在梯形中剪一个最大的圆,则这个圆的圆心用数对表示是(3 ,8),它的面积是( 12.56 )cm2。(2分)
五、解决问题(共28分)
28. 平平读一本故事书,每天读15页,12天可以读完。如果每天读18页,几天可以读完?(5分)
15×12÷18=10(天)
答:10天可以读完。
29. 聪聪用两种方法解决下面的问题:
(1)你能看懂上面的做法吗?请将他是怎样设x的补充完整。(2分)
(2)我选择用方法( 1 )来解答。(3分)
解答过程:解:设科技类有x组,则艺术类有(11-x)组。
5x+3(11-x)=45 解的x =6
则科技类:6×5=30人
艺术类:45-30=15人
答:参加科技类有30人,参加艺术类有15人。
30. 如图30-1,这是一个由等底等高的圆柱和圆锥组合而成的计时工具,圆锥内灌满了有颜色水。其中圆锥的高为6厘米,底面半径为3厘米。已知水的流速是1.57立方厘米/分钟。
(1)圆锥内漏完水需要多少时间?(4分)
(2)请你在图30-2中用阴影表示出此时圆柱内的水。(1分)
31. 爸爸要将一个6.5G(G是表示文件大小的单位)的文件下载到自己的电脑中。他查了一下电脑D盘和E盘的属性,发现以下信息:
(1)爸爸将文件保存在哪个盘比较合适?请列式说明。(3分)
D盘可用:44÷(1-12%)=50G
50-44=5G
E盘可用:63÷(1-10%)=70G
70-63=7G
7G>6.5G>5G
答:放在E盘比较合适。
(2)6.5G的文件,前20分钟下载了25%。照这样的速度,还要几分钟才能下载完毕?(3分)
20÷25%=80(分钟)
80-20=60(分钟)
答:还要60分钟才能下载完毕。
32. 我市游泳健身中心的室内泳池长50米,宽25米。最浅处水深1.2米,最深处水深1.6米。
(1)“泳池的容积是多少立方米?”对这一数学问题以下两位同学展开了讨论。请根据他们的思考过程解决问题。
①小朱同学:“它不是一个长方体,但可以通过割或补的方法(如下图),就可以变成长方体了。所以它的容积大小范围就在(1500)立方米和(2000)立方米之间。”(2分)
②小锋同学:“两个完全一样的泳池可以拼成一个大长方体(如下图)。这样就能计算出它的容积啦。”
请根据小锋的方法计算该泳池的容积。(3分)
50×25×(1.2+1.6)÷2=1750m3
答:这个泳池的容积是1750立方米。
(2)如果在空的泳池内以均匀的注水速度(140立方米/小时)往池内灌水,选一选,下面哪副图能表示出泳池最深处水位的变化情况?( B )(1分)

(3)根据以上信息综合思考,第(2)题图中的A表示的数是( 12.5 )小时。(1分)
1750÷140=12.5小时