一、填空。(11x1分)
1.15个2/5是( ),0.42的5/6是( ),( )的2/3是4/9。
3.六(1)班的男、女生人数的比是3:4,那么男生人数是女生人数的( )/( ),是全班人数的( )/( )。
4.10增加它的2/5是( )。
5.25kg:0.25t化成最简整数比是( ),比值是( )。
二、判断。(5x1分)
1.4m的1/7和1m的4/7一样长。( )
2.一个大于0的数除以分数,商一定大于这个数。( )
3.比的前项和后项同时乘或除以一个数,比值不变。( )
5.一种商品先提价1/8,再降价1/8,现价和原价相等。( )
三、选择。(5x1分)
1.六(2)班的女生人数是男生人数的4/5,女生人数占全班人数的( )。
A. 5/9 B. 4/9 C. 5/4
A.1:2 B.2:1 C.20:1
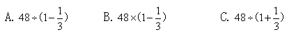
3.文艺书有48本,比科技书少1/3。求科技书有多少本,列式为( )。
4.下列算式中(M是大于0的自然数),得数最大的是( )。
5.把1/6 m长的绳子剪成相等的3段,每段绳子是全长的( )。
А. 1/2 B. 1/3 C. 1/18
四、看图填空。(12x1分)
1.公园在广场的东偏( )( )方向上,距离广场( )m。
2.学校在广场的北偏( )( )方向上,距离广场( )m。
3.超市在广场的西偏( )( )方向上,距离广场( )m。
4.居民区在广场的南偏( )( )的方向上,距离广场( )m。
五、计算。(23分)
1.直接写得数。(8分)
2.脱式计算,能简算的要简算。(9分)
3.解方程。(6分)
六、看图列式计算。(2x4分)
七、解决问题。(26分)
1.学校图书馆有故事书1800本,是连环画的4/5,连环画本数是文艺书的 5/7。学校图书馆有文艺书多少本?(6分)
2.一块长方形菜地的周长是50 m,它的长和宽的比是3:2,这块菜地的面积是多少平方米?(6分)
3.修一条公路,甲队独修需24天完成,乙队独修需30天完成。甲、乙两队先合修若干天后,乙队停工休息,甲队继续修了6天完成。乙队修了多少天?(7分)
4.甲班学生不满50人,在一次课外活动中,参加各类运动的占全班人数的1/3,参加绘画的占全班人数的1/7,参加唱歌的占全班人数的1/2,余下的參加跳舞。參加跳舞的有多少人?(7分)
八、拓展提升。(10分)
兄弟三人分24个苹果,每人所得个数等于其三年前的年龄数。如果老三把所得苹果数的一半平分给老大和老二,然后老二再把现有苹果数的一半平分给老大和老三,最后老大再把现有苹果数的一半平分给老二和老三,这时每人的苹果数恰好相等。现在兄弟三人的年龄各是多少岁?
参考答案

