一、 填空题。(每空1分,共30分)
1. 12/7 的倒数是( 7/12 ),1/9 的倒数是( 9 )。
2. 60千克的是( 48 )千克,( 75 )千克的是60千克。
3. 不用计算,直接在括号里填上“>”“<”或“=”。
4. 正方体的棱长扩大4倍,棱长和扩大( 4 )倍,表面积扩大( 16 )倍,体积扩大( 64 )倍。
5. 一个正方体棱长总和是84厘米,它的表面积是( 294 )平方厘米,体积是( 343 )立方厘米。

8. 六年级女生人数是男生人数的 4/5,男生人数是女生人数的( 5/4 ),男生比女生多( 1/4 ),女生比男生少( 1/5 ),男生占全年级人数的( 5/9 ),女生占全年级人数的( 4/9 )。
9. 一个长方体的鱼缸从里面量得长7分米,宽5分米,高4分米,它的棱长和是 ( 64 )分米。做这样一个鱼缸,需要(131平方分米)的玻璃。最多能装水( 140 )升。
10.一块长15厘米,宽10厘米的,厚4厘米的砖,所占的空间是( 600 )立方厘米,占地面积最大是( 150平方厘米 )。 
二、判断题。(每小题1分,共5分)
1. 1米长的绳子,第一次剪去,第二次剪去米,两次剪的一样长。( √ )
2. 所有长方体的相邻两个面不可能都是正方形。( × )

4. 今年产量是42吨,比去年增加,就是比去年增加了42×=7吨。( × )
5. 一个不为零的自然数除以,这个数就扩大到原来的4倍。( √ )
三、选择题。(每小题2分,共10分)
1. 因为7/8 x 8/7=1,所以( D )。
A、7/8是倒数 B、8/7是倒数 C、7/8和8/7都是倒数 D、7/8和8/7互为倒数
2. 15x(1/3 + 2/5)=5+6=11,这是根据( B )计算的。
A、乘法交换律 B、乘法分配律
C、乘法结合律 D、无法确定
3. 用一个长( D )的铁丝正好可以做一个长7厘米,宽5厘米,高3厘米的长方体框架。
A、15厘米 B、30厘米 C、45厘米 D、60厘米
4. 电视机原价980元,先提价1/10,再降价1/10,这是( B )。
A、与原价一样多 B、比原价低 C、比原价高 D、无法确定
5. 阿派和米德集邮,阿派的邮票比米德多1/4,米德的邮票比阿派少( D )。
A、1/4 B、1/3 C、1/2 D、1/5
四、计算题。(第1题8分,第2题12分,共20分)
1. 口算。
2. 计算下列各题。
五、分别计算出长方体和正方体的表面积和体积。(10分)
40÷5=8(厘米) 0.5×0.5×6=1.5(平方分米)
40×2+5×6×2+6×8×2=236(平方厘米) 0.5×0.5×0.5=0.125(立方分米)
40×6=240(立方厘米)
六、 应用题。(25分)
1. 小卖部要做一个长2.2 米,宽0.4米, 高0.8米的玻璃柜台各边都安上角铁, 这
个柜台需要多少米角铁?
(2.2+0.4+0.8)×4=13.6(米)
答:这个柜台需要13.6米角铁。
2. 六年级同学给灾区的小朋友捐款。六(1)班捐了500元,六(2)班捐的是六(1)班的4/5,六(2)班捐的又是六(3)班的 8/9。三个班共捐款多少元?
500×4/5=400(元)
400÷8/9=450(元)
500+400+450=1350(元)
答:三个班共捐款1350元。
3. 一根长1.6米,横截面是边长5厘米的正方形的长方体铜条,铜条如果每立方分米重7.8千克,这根铜条共重多少千克?
1.6米=16分米 5厘米=0.5分米
16×0.5×0.5=4(立方分米)
4×7.8=31.2(千克)
答:这根铜条共重31.2千克。
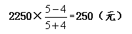
4. 芭啦啦综合教育学校为四川震灾捐款,六(1)班共捐款2250元,已知男生和女生捐款数的比是4:5。男生比女生少捐款多少元?
答:男生比女生少捐款250元。
5. 一个长方体,它的长、宽、高的比是4:3:2,它的棱长总和为72㎝,这个长方体的表面积和体积各是多少 ?
72÷4=18(厘米)
18÷(4+3+2)=2(厘米)
长:4×2=8(厘米)
宽:3×2=6(厘米)
高:2×2=4(厘米)
(8×6+8×4+6×4)×2=208(平方厘米)
8×6×4=192(立方厘米)
答:这个长方体的表面积是208平方厘米。这个长方体的体积是192立方厘米。