一、填空题。(每题2分,共20分)
1、甲:乙=3:4,乙:丙=5:6,甲:乙:丙=( ):( ):( ).
2、2小时45分=( )小时 40吨50千克=( )吨
5.05平方分米=( )平方分米( )平方厘米
65000平方米=( )公顷
3、A=2×3×5,B=3×5×7,A和B的最大公因数是( ),最小公倍数是( ).
4、一般按下面用小棒摆正六边形.摆4个正六边形需要( )根小棒;摆10个正六边形需要( )根小棒;摆n个正六边形需要( )根小棒
5、有2分和5分的硬币共18枚,一共6角钱,5分的硬币有( )枚.
6、在括号里填合适的数。
时=( )分 500平方分米=( )平方米
千克=( )克 ( )立方分米=7升40毫升
7、淘气的爸爸把500元存入银行,定期三年,年利率是3.33%到期后淘气的爸爸应得的利息是( )元.
8、0.8:0.2的比值是( ),最简整数比是( )
9、如果3a=5b(ab≠0),那么a∶b=( )∶( )。
10、一根长5米的圆柱,截成4段小圆柱,表面积增加了18.84平方厘米,原来圆柱的体积是( )立方厘米。
二、判断题(对的打“√”,错的打“×”。每题2分,共10分)
1、用4个圆心角是90°的扇形,一定可以拼成一个圆.( )
2、0.46÷0.03商是15,余数是1.( )
3、上升一定用正数表示,下降一定用负数表示。( )
4、圆有无数条对称轴.( )
5、“三成五”是十分之三点五,写成百分数是35%.( )
三、选择题。(每题1分,共5分)
1、在比例尺是1:6000000的地图上,量得南京到北京的距离是15厘米,南京到北京的实际距离大约是( )千米。
A.800千米 B.90千米 C.900千米
2、圆的半径扩大3倍,它的面积就扩大( ).
A.3倍 B.6倍 C.9倍
3、医院要反映出一个病人一天的体温变化情况,最好用( )
A.条形统计图B.折线统计图C.扇形统计图
4、如果甲数比乙数多25%,那么乙数比甲数少( ).
A.20% B.25% C.50%
5、把一个直径4毫米的手表零件,画在图纸上的直径是8厘米,这幅图纸的比例尺是( ).
A.1:2 B.2:1 C.1:20
四、计算题。(共33分)
1、直接写出得数。(每小题1.5分,共12分)
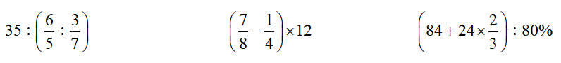
2、下面各题怎样简便就怎样算。(每小题4分,共12分)
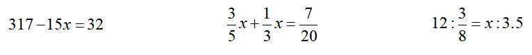
3、解方程或比例。(每小题3分,共9分)
五、作图题。(共8分)
1、画出下面图形按3:1放大后的图形。
六、解决问题。(每题4分,共24分)
1、百货大楼搞促销活动,甲品牌鞋满200元减100元,乙品牌鞋“折上折”,就是先打六折,在此基础上再打九五折。现在两个品牌都有一双标价400元的鞋,哪个品牌的更便宜?
2、甲、乙两种商品成本共200元。甲商品按30%的利润定价,乙商品按20%的利润定价。后来两种商品都按定价的90%出售,结果获利润27.7元。甲、乙两种商品的成本各是多少元?
3、小红和小兰都积攒了一些零用钱,她们所积攒的零用钱的比是5:3.在“支援灾区,奉献爱心”的捐款活动中,小红捐了26元,小兰捐了10元,这时她们剩下的钱数相等.小红原来有多少钱?
4、在一个从里面量得长15分米、宽12分米的长方体水箱中装有10分米深的水,如果在水箱中放入一块棱长为30厘米的正方体铁块,那么水箱中的水会上升到多少分米?
5、王叔叔买了15张成人票和儿童票,一共用去265元。已知每张成人票20元,每张儿童票15元。王叔叔买成人票和儿童票各多少张?
6、小明统计班里的数学成绩,平均分数为85.74,后来发现一个同学原来的分数为97,统计时误统计为67.重新统计后平均分数为86.49,此班共有多少个学生?
参考答案
一、填空题。(每题2分,共20分)
1、15 20 24
2、2.75 40.05 5 5 6.5
3、15 210
4、21 51 5n+1
5、8
6、45 5 125 7.04
7、49.95
8、4 4:1
9、5 3
10、1570
二、判断题(对的打“√”,错的打“×”。每题2分,共10分)
1、×
2、×
3、×
4、√
5、√
三、选择题。(每题1分,共5分)
1、C
2、C
3、B
4、A
5、A
四、计算题。(共33分)
五、作图题。(共8分)
1、见详解
【分析】
把图形按照n∶1放大,就是将图形的每一条边放大到原来的n倍,放大后图形与原图形对应边长的比是n∶1。
【详解】
作图如下:
六、解决问题。(每题4分,共24分)
1、甲品牌
2、甲商品的成本是130元,乙商品的成本是70元。
3、40元
4、10.15分米
5、李叔叔买成人票8张,儿童票7张。
6、40个