一、填(tián)一(yī)填(tián)。(33分)
2、20的个位上是( ),十位上( ),它前面的1个数是( )。
3、一个加数是7,另一个加数和是5,和是( ),被减数是18,减数是9,差是( )。
4、
5、一个柜子上有4 扇 门,另一个柜子上比它多2扇 门,两个柜子上共有( )扇门。
6、明明和乐乐站在同一行,明明排第6,乐乐排第17,明明和乐乐之间有( )个人。
7、16 的个位上是( ),表示( )个( ); 十位上是( ),表示( )个( )。
8、15和17 中间的数是( ),和10相邻的的数是( )和( )。
9、按规律填数。
(1)9,11,13,( )。17 ,( )
(2)14,12,10.( ),( ),4.
10、在 口 里填适当的数。
二、选(xuǎn)择(zé)(10分)
1、下面( )中的物品是同一类的。
2、下面减法中,差最小的是( )
14 – 6 15 – 8 19 – 9
3、小卫第一次跳了8下,他第二次想比第一次多跳7下,那么第二次他要跳多少下?正确的算式是( )
8+7 =15(下 ) 8 – 7=1(下) 8+7=16(下)
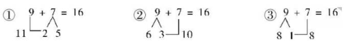
4、用“凑十法”计算9+7的正确步骤是( )
5、至少用( )个 可以拼成一个大正方体、
4 6 8
三、比(bǐ)一(yì)比(bǐ),画(huà)一(yí)画(huà)。(9分)
1、在 O 里填上“>”、“<”、或“=”。(6分)
2、比轻重,在最重的 口 里 画“√”,在最轻的 口 里画“×”(2分)
3、高的画“√”,矮的画“×”(1分)
四、计算。(29分)
1、填表。(10分)

2、看谁算得又对又快。(9分)
5+5= 10–6= 12-5 +8 =
15-8 = 17–7 = 13+6-10 =
5+7 = 9+6 = 6+9-2 =
3、比一比。看谁算得快。(10分)
五、看图列式计算。(6分)
六、解决问题。(13分)
1、小军原来有一些钱,了一本8元的书后,还剩5元,他原来有多少钱?
2、兰兰和小明摘葫芦,他们一共摘了14个,小军摘了9个,其余的都是兰兰摘的,兰兰摘了多少个?
3、学校绘画小组有9名男生,10名女生,绘画小组一共有多少人?
4、小玲做了8朵红花,9 朵黄花,小玲一共做了多少朵花?
5、动物园有3只老猴,8只小猴,动物园一共在多少只猴子?
6、草地上有16只羊,走了一些后,还剩4只,走了几只羊?
参考答案
一、填空。
1、20>17,13<14, 2、0,2,19, 3、12,10, 4、2个,5个,4个,4个
5、10扇, 6、10个人 7、6、6个一。1、1个十 8、16,9 和11,
9、15,19, (2)8,6, 10、12,8,择11,9,4
二、选择。
①,③,①,②,①
三、比一比。画一画。
1、>,=,=,<,>,<;
2、猪√,猴○
3、长颈鹿√,梅花鹿×
四、计算。
1、8,19,8,4,15; 6,13,16,9,6
2、10,4,15,7,10,9,12,15,13
3、9,14,6,18,9; 11,17,9,12,7;
五、看图列式计算。
9+4=13,18 - 3 -2 =13
六、解决问题。
1、8+5=13(元)
2、14 - 9=5(个)
3、9+10=19(名)
4、8+9=17(朵)
5、3+8=11(只)
6、16 -12(只)