一、填空题。(共17分)
1.李军向东走50米记作+50米,那么向西走20米可记作________米。
2.九五折=________% 45%=________成________
3.一件服装标价200元,按标价的八折销售,该服装卖________元。一个书包,打九折后售价45元,原价________元。
4.小明把5000元存入银行,存期2年,年利率3.75%,可得利息________ 元,到期可取回________元。
5.沿着圆柱的高剪,侧面展开得到一个长方形,它的一条边就等于圆柱的________,另一条边就等于圆柱的________。
6.等底等高的圆柱和圆锥的体积相差24 m3 , 这个圆柱的体积是________ m3 , 圆锥的体积是________ m3。
7.如果3a=4b(a,b均不为0),那么a:b=________。
8.因为________×________=路程(一定),所以________和________成________比例。
二、我是小法官。(共8分)
9.一个数,如果不是正数一定是负数。( )
10.一条裙子现在打七折出售,就是说比原价降低70%。( )
11.王叔叔说:“我付出劳动,得到工资,不需要纳税。”( )
12.一种商品先提价一成五,再按八五折销售,现价与原价相等。 ( )
13.今年某品牌汽车的销售量比去年增加两成,今年汽车的销售量是去年的120%。 ( )
14.圆锥的体积等于圆柱体积的 1/3。( )
15.正方体、长方体和圆柱的体积都等于底面积乘高。( )
16.把一个圆柱形的橡皮泥捏成圆锥形后,它的体积减少了 2/3。( )
三、选择题。(共10分)
17.一种方便面包装袋上标着“净重150±5g”,表示这种方便面的标准质量是________g,实际每袋最少不少于________g。
A.150 B.155 C.145 D.5
18.本商店去年笔记本电脑的销量为5800台,今年的销量比去年增加了二成,今年的销量为( )台。
A. 1160 B. 6960 C. 4640
19.一根圆柱形木料长1.5m,把它截成3个大小完全一样的小圆柱,表面积增加了37.68dm2 , 这根木料的横截面积是( )dm2。
A. 12.56 B. 9.42 C. 6.28
20.一个圆柱形玻璃容器内盛有水,底面半径是r,把一个圆锥形铅锤浸没水中,水面上升了h,这个铅锤的体积是( )。
A. 1/3 πr2h B. πr2h C. πr3
21.把比例5:3=20:12的内项3增加6,要使比例成立,外项12应该增加( )。
A. 6 B. 12 C. 18 D. 24
四、计算题。(共15分)(共2题;共15分)
22.计算圆柱的表面积和体积。 
23.计算圆锥的体积。
五、解下列比例。(共20分)
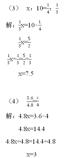
24.解下列比例。 
六、解决问题。(共30分)
25.一家商店八月份的营业额约是60万元。如果按营业额的5%缴纳营业税,这家饭店八月份应缴纳营业税约多少万元?
26.把一块长为15cm、宽为3.14cm、高为2cm的方钢熔铸成底面直径是8cm的圆锥形钢坯,这个圆锥形钢坯的高是多少厘米?
27.一个果园去年苹果的产量是95 t,今年产量比去年增加二成,今年的产量是多少吨?
28.胜利商场周年店庆,全场九折,友谊商场购物满1000元送100元现金。如果买一台标价5800元的电脑,在胜利商场和友谊商场各应付多少钱?在哪家商场购买更省钱?
29.一个圆锥形沙堆,底面直径是6 m,高是2.5 m。用这堆沙在10 m宽的公路上铺2 cm厚的路面,能铺多少米?
答案解析部分
一、填空题。(共17分)
1.【答案】 -20
【考点】正、负数的认识与读写
【解析】【解答】 李军向东走50米记作+50米,那么向西走20米可记作-20米。
故答案为:-20。
【分析】生活中,通常用正负数表示具有相反意义的两种量,如果规定向东走为正,那么向西走为负,据此解答。
2.【答案】 95;四;五
【考点】百分数的应用--折扣,百分数的应用--成数
【解析】【解答】 九五折=95%;45%=四成五。
故答案为:95;四;五。
【分析】 几折就表示现价是原价的百分之几十;几成就是十分之几,即百分之几十,据此解答。
3.【答案】 160;50
【考点】百分数的应用--折扣
【解析】【解答】200×80%=160(元);
45÷90%=50(元)。
故答案为:160;50。
【分析】此题主要考查了折扣的应用,折扣表示现价是原价的百分之几,折扣=现价÷原价,已知原价与折扣,要求现价,原价×折扣=现价,据此列式计算;
已知现价与折扣,要求原价,现价÷折扣=原价,据此列式解答。
4.【答案】 375;5375
【考点】百分数的应用--利率
【解析】【解答】5000×2×3.75%
=10000×3.75%
=375(元)
5000+375=5375(元)
故答案为:375;5375 。
【分析】此题主要考查了利息的应用,本金×利率×存期=利息,到期取回的钱=本金+利息,据此列式解答。
5.【答案】 底面周长;高
【考点】圆柱的展开图
【解析】【解答】 沿着圆柱的高剪,侧面展开得到一个长方形,它的一条边就等于圆柱的底面周长,另一条边就等于圆柱的高。
故答案为:底面周长;高。
【分析】根据圆柱的特征可知,沿着圆柱的高剪,侧面展开得到一个长方形,它的一条边就等于圆柱的底面周长,另一条边就等于圆柱的高,当底面周长与高相等时,侧面展开图是一个正方形,据此解答。
6.【答案】 36;12
【考点】圆柱与圆锥体积的关系
【解析】【解答】24÷2×3
=12×3
=36(m3)
24÷2=12(m3)
故答案为:36;12。
【分析】 等底等高的圆柱和圆锥,圆柱的体积是圆锥体积的3倍,等底等高的圆柱和圆锥的体积相差是圆锥体积的2倍,据此用体积差÷2=圆锥的体积,圆锥的体积×3=圆柱的体积,据此列式解答。
7.【答案】 4:3
【考点】比例的基本性质
【解析】【解答】 如果3a=4b(a,b均不为0),那么a:b=4:3 。
故答案为:4:3。
【分析】应用比例的基本性质:在比例里,两外项之积等于两内项之积;把相乘的两个数同时作外项或内项,据此解答。
8.【答案】 速度;时间
;速度
;时间;反
【考点】成反比例的量及其意义,速度、时间、路程的关系及应用
【解析】【解答】 因为速度×时间=路程(一定),所以速度和时间成反比例。
故答案为:速度;时间;速度;时间;反。
【分析】此题主要考查了正、反比例的判断,如果用字母x和y表示两种相关联的量,用k表示它们的比值,正比例关系可以用以下关系式表示:y:x=k(一定);如果用字母x和y表示两种相关联的量,用k表示它们的积,反比例关系可以用下面关系式表示:xy=k(一定),据此判断;
依据速度、时间和路程的关系,速度×时间=路程,当路程一定时,速度和时间成反比例。
二、我是小法官。(共8分)
9.【答案】 错误
【考点】正、负数的认识与读写
【解析】【解答】 一个除0以外的数,如果不是正数一定是负数,原题说法错误。
故答案为:错误。
【分析】正数与负数表示意义相反的量,比0大的数叫正数,比0小的数叫负数,0既不是正数,也不是负数,据此判断。
10.【答案】 错误
【考点】百分数的应用--折扣
【解析】【解答】 一条裙子现在打七折出售,就是说比原价降低30%,原题说法错误。
故答案为:错误。
【分析】一条裙子现在打七折出售,表示现价是原价的70%,把原价看作单位“1”,现价比原价降低1-70%=30%,据此判断。
11.【答案】 错误
【考点】百分数的应用--税率
【解析】【解答】 根据国家规定:劳务报酬所得、工资薪金所得也需要纳税,因此王叔叔自己付出劳动得到的工资,需要纳税,原题说法错误。
故答案为:错误。
【分析】此题主要考查了纳税的知识,纳税指根据国家各种税法的规定,按照一定的比率,把集体或个人收入的一部分缴纳给国家,劳务报酬所得、工资薪金所得也需要纳税,据此判断。
12.【答案】 错误
【考点】百分数的应用--折扣,百分数的应用--成数
【解析】【解答】1×(1+15%)×85%=0.9775,现价与原价不相等。原题错误。
故答案为:错误。
【分析】把原价看做单位1,原价×(1+一成五)×八五折=现价,据此解答。
13.【答案】 正确
【考点】百分数的应用--成数
【解析】【解答】1+20%=120%,原题说法正确。
故答案为:正确。
【分析】此题主要考查了成数的应用,根据条件“ 今年某品牌汽车的销售量比去年增加两成 ”可知,把去年的销售量看作单位“1”,今年就是去年的1+20%=120%,据此判断。
14.【答案】 错误
【考点】圆柱与圆锥体积的关系
【解析】【解答】解:圆锥的体积等于与它等底等高的圆柱体积的 1/3。
故答案为:错误。
【分析】圆锥的体积等于与它等底等高的圆柱体积的 1/3。
15.【答案】 正确
【考点】长方体的体积,正方体的体积,圆柱的体积(容积)
【解析】【解答】 正方体、长方体和圆柱的体积都等于底面积乘高,此题说法正确。
故答案为:正确。
【分析】 此题主要考查了长方体、正方体和圆柱的体积公式,正方体、长方体和圆柱体的体积都可以用底面积乘高来求,即V=sh,据此判断。
16.【答案】 错误
【考点】体积的等积变形
【解析】【解答】 把一个圆柱形的橡皮泥捏成圆锥形后,它的体积不变,原题说法错误。
故答案为:错误。
【分析】此题主要考查了体积的变换,物体所占空间的大小叫做物体的体积 , 将一个圆柱形的橡皮泥捏成圆锥形后,它的形状变了,体积不变,据此判断。
三、选择题。(共10分)
17.【答案】 A;C
【考点】正、负数的意义与应用
【解析】【解答】 一种方便面包装袋上标着“净重150±5g”,表示这种方便面的标准质量是150g,实际每袋最少不少于150-5=145(g)。
故答案为:A;C。
【分析】此题主要考查了正负数的应用,由标签“净重150±5g”可知,这种方便面的标准质量是150g,实际每袋最多不超过150+5g,实际每袋最少不低于150-5g,据此解答。
18.【答案】 B
【考点】百分数的应用--成数
【解析】【解答】5800×(1+20%)
=5800×1.2
=6960(台)
故答案为:B。
【分析】根据条件“ 今年的销量比去年增加了二成 ”可知,把去年的销量看作单位“1”,去年的销量×(1+20%)=今年的销量,据此列式解答。
19.【答案】 B
【考点】圆柱的侧面积、表面积
【解析】【解答】37.68÷4=9.42(dm2)
故答案为:B。
【分析】把一根圆柱形木料截成3个大小完全一样的小圆柱,表面积增加了4个横截面积,表面积增加的部分÷4=这根木料的横截面积,据此列式解答。
20.【答案】 B
【考点】圆柱的体积(容积)
【解析】【解答】 一个圆柱形玻璃容器内盛有水,底面半径是r,把一个圆锥形铅锤浸没水中,水面上升了h,这个铅锤的体积是πr2h 。
故答案为:B。
【分析】 此题主要考查了物体体积的计算,这个铅锤的体积与水面增加的体积是一样的,因为这是一个圆柱形玻璃容器,所以水面增加的面积=底面积×高,据此列式解答。
21.【答案】 D
【考点】比例的基本性质
【解析】【解答】 把比例5:3=20:12的内项3增加6,内项由3变成9,扩大3倍,要使比例成立,外项12也要扩大3倍,12×3=36,外项12应该增加36-12=24。
故答案为:D。
【分析】根据比例的基本性质:在比例里,两外项之积等于两内项之积;当一个内项扩大a倍时,要使比例成立,其中一个外项也要扩大a倍,据此解答。
四、 计算题。(共15分)
22.【答案】 圆柱的表面积:
3.14×10×2×20+3.14×102×2
=31.4×2×20+3.14×100×2
=1256+628
=1884(cm2)
圆柱的体积:
3.14×102×20
=3.14×100×20
=314×20
=6280(cm3)
【考点】圆柱的侧面积、表面积,圆柱的体积(容积)
【解析】【分析】已知圆柱的底面半径r和高h,要求圆柱的表面积S,依据公式:S=2πrh+2πr2, 据此列式计算;
要求圆柱的体积V,依据公式:V=πr2h,据此列式解答。
23.【答案】 解:3.14×102×30×1/3
=3.14×100×10
=3140(cm2)
【考点】圆锥的体积(容积)
【解析】【分析】圆锥的体积=底面积×高×1/3, 由此根据圆锥的体积公式计算即可.
五、解下列比例。(共20分)
24.【答案】
(1) 3:18=5:x
解:3x=18×5
3x=90
3x÷3=90÷3
x=30
(2) x:0.25=3.6:0.1
解:0.1x=0.25×3.6
0.1x=0.9
0.1x÷0.1=0.9÷0.1
x=9
【考点】应用比例的基本性质解比例
【解析】【分析】解比例的依据是比例的基本性质:在比例里,两外项之积等于两内项之积,据此解答。
六、解决问题。(共30分)
25.【答案】 60×5%=3(万元)
答:这家饭店八月份应缴纳营业税约3万元。
【考点】百分数的应用--税率
【解析】【分析】此题主要考查了纳税的知识,营业额×营业税的税率=要缴纳的营业税,据此列式解答。
26.【答案】 15×3.14×2
=47.1×2
=94.2(cm3)
8÷2=4(cm)
94.2÷1/3÷(3.14×42)
=94.2÷1/3÷50.24
=94.2×3÷50.24
=282.6÷50.24
=5.625(厘米)
答: 这个圆锥形钢坯的高是5.625厘米。
【考点】长方体的体积,圆锥的体积(容积)
【解析】【分析】此题主要考查了长方体体积与圆锥体积的计算,根据题意可知,将长方体的方钢熔铸成一个圆锥形钢坯,体积不变,先求出方钢的体积,长方体的体积=长×宽×高,求出的方钢体积也是圆锥的体积,已知圆锥的底面直径和体积,要求圆锥的高,先求出圆锥的底面半径,直径÷2=半径,然后用圆锥的体积÷1/3÷底面积=高,据此列式解答。
27.【答案】 95×(1+20%)
=95×1.2
=114(吨)
答:今年的产量是114吨。
【考点】百分数的应用--成数
【解析】【分析】此题主要考查了成数的应用,根据条件“ 今年产量比去年增加二成 ”可知,把去年的产量看作单位“1”,今年的产量=去年的产量×(1+20%),据此列式解答。
28.【答案】 胜利商场:5800×90%=5220(元)
友谊商场:5800÷1000=5……800
5800-5×100
=5800-500
=5300(元)
5220元<5300元,在胜利商场购买更省钱。
答:胜利商场购买需要5220元,友谊商场购买需要5300元,在胜利商场购买更省钱。
【考点】百分数的应用--折扣,最佳方案:最省钱问题
【解析】【分析】此题主要考查了方案设计问题,根据题意,分别求出两个商场的购买价格,然后对比,哪个商场需要的钱数越少,就到哪家去买。
29.【答案】 2cm=0.02m
6÷2=3(m)
1/3×3.14×32×2.5
=1/3×3.14×9×2.5
=3.14×3×2.5
=9.42×2.5
=23.55(m3)
23.55÷(10×0.02)
=23.55÷0.2
=117.75(米)
答:能铺117.75米。
【考点】圆锥的体积(容积) 