一、开火车。(在每节车厢上填出合适的数)
二、用竖式算一算。
340+190= 230+380= 550+370=
730-240= 450-260= 380-290=
三、数学医院。(对的打“√”,错的打“×”并改正)
四、选一选。(将正确答案的序号填在括号里)
1.在加法算式中,和( )任何一个加数。
A.大于 B.等于 C.小于 D.大于或等于
2.360比70多( )。
A.390 B.430 C.290
3.比最小的三位数多600的数是( )。
A.1600 B.400 C.700
4.363+239的和大约是( )。
A.500 B.600 C.580
5.实验小学三年级同学去秋游,男生有3组,每组9人;女生有36人。去秋游的男生和女生一共有( )人。
A.27 B.39 C.45 D.63
五、在○里填上“>”“<”或“=”。
35+27○65 310-150○200 270+180○450
46+27○90-15 280-90○160 910-800○200
六、在○里填上“+”“-”“×”或“÷”。
80○130=210 5○9=45 740○30=710
72○8=9 250○180=430 320○50=270
80○15=95 860○400=460 96○49=47
七、都是哪个鱼缸里养的鱼?
八、列式计算。
1.一个数加上45得93,这个数是多少?
2.一个加数是460,另一个加数是340,和是多少?
3.530比270多多少?
九、解决问题。
(1)一班和二班学生全上车,能坐下吗?
(2)还能再上人吗?两位班主任同去行吗?
3.菜店有西红柿240千克,卖出了180千克后,又运来了150千克,菜店现在有多少千克西红柿?
4.2016年唐山世界园艺博览会园区占地面积为506公顷,比西安世界园艺博览会园区总面积多88公顷。估算一下:西安世界园艺博览会园区总面积大约是多少公顷?
5.“五一”优惠活动中的物品标价牌。
(1)算一算:哪种商品降低的钱数最多?
(2)如果现在买一个电饭锅和一辆自行车,比原来便宜多少元?
(3)请你再提出一个数学问题并解答。
附加题。
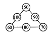
将50,60,70,80,90,100分别填入下图的○内,使图中每条线上的三个数的和是210。
参考答案
一.51 37 70 43 63 36 77 38
二、530 610 920 490 190 90
三、

四、1.D 2.C 3.C 4.B 5.D
五、< < = < > <
六、+ × - ÷ + - + - -
八、1.93-45=48 2.460+340=800 3.530-270=260
九、1.18+23=41(人) 41+39=80(人)
2.(1)42+46=88(人) 88<90,能坐下。
(2)还能上人,两位班主任同去刚好坐满。
3.240-180=60(千克) 60+150=210(千克)
4.把506公顷看成510公顷,88公顷看成90公顷.510-90=420(公顷)。
5.(1)微波炉:450-370=80(元)
电饭锅:280-190=90(元)
自行车:350-280=70(元)
90>80>70,电饭锅降低的钱数最多。
(2)90+70=160(元)
附加题:
